Objavljujemo uz dozvolu autorice
Napisala Jael Rucker
U prošlom izdanju emisije “Zašto se niko nikada ne izvinjava Michaelu Jacksonu”, obradili smo mitove koji okružuju Jacksonov kratki boravak na rehabilitaciji u novembru 1993. godine Sada je konačno došlo vrijeme da se pozabavimo jednim od najvećih tema u vezi s optužbama protiv Jacksona — FBI-em i njihovoj ulozi u njima.
Počeću time što ću reći da mnogi od Jacksonovih kritičara imaju problem s upotrebom riječi ‘istraživao’ kada je u pitanju tačno ono što je FBI radio. Imala sam nekoliko razmjena s nekim od tih ljudi, i svaki put kada ih pitam koju riječ misle da bih trebala koristiti umjesto toga, nikad ne dobijem odgovor. Dakle, objasniću tačno šta FBI kaže da su radili vlastitim riječima (uz njihove vlastite dokumente koji to potvrđuju), a vi ćete odlučiti koju riječ smatrate najboljom u ovom slučaju.
Hajde da zaronimo malo dublje, zar ne?
FBI i Michael Jackson
Michael Jackson (1958–2009) bio je poznati pjevač i zabavljač. Između 1993. i 1994. godine, kao i zasebno između 2004. i 2005. godine, Jackson je bio predmet istrage od strane kalifornijskih agencija za sprovođenje zakona zbog mogućeg zlostavljanja djece. Bio je oslobođen svih tih optužbi. FBI je pružao tehničku i istražiteljsku pomoć ovim agencijama tokom tih slučajeva. Biro je također istraživao prijetnje koje je protiv gospodina Jacksona i drugih upućivala osoba koja je kasnije bila zatvorena zbog tih zločina. Ove istrage su se dešavale između 1992. i 2005. godine.
U redu, dakle, prema riječima FBI-a, oni su pružali tehničku i istražiteljsku pomoć agencijama za sprovođenje zakona u Kaliforniji (što su bili Policijska uprava Santa Barbara i LAPD) između 1993. i 1994. godine, te zasebno između 2004. i 2005. godine. Šta se tačno dešavalo s Jacksonom tokom tih godina? Optužbe Jordana Chandlera i optužbe Arvizoa, za koje je kasnije bio optužen, išao na suđenje i bio oslobođen.
Kao što možete vidjeti, ovo nisu bile nasumično odabrane godine kada je FBI odlučio da se uključi i pruži pomoć – ovo su upravo one godine koje direktno korespondiraju s optužbama.
Idemo dalje… FBI-ovi dosjei su se sastojali od više od 600 stranica, od kojih je 351 stranica javno objavljena. Ako napravite brzu računicu, to znači da postoji skoro 300 stranica Jacksonovih FBI dosjea koje nikada nisu bile javno viđene. A s obzirom da te stranice još uvijek nisu predmet javne evidencije u trenutku kada se ovo piše, niko nije u poziciji da kaže da je FBI nešto uradio ili nije uradio, osim ako to nije posebno navedeno u ovim javno objavljenim dosijeima.
Tih 351 stranica koje su javne podijeljene su u osam zasebnih dijelova, a sadrže isječke iz novina, kao i niz dokumenata koji izvještavaju da je Jackson bio meta prijetnji i pokušaja ucjena, među ostalim značajnim isječcima i dokumentima.
Hajde da prođemo kroz svaki dio jedan po jedan.
Dio prvi: Terry George

Dio prvi počinje pismom datiranim iz septembra 1993. godine. Pismo je ‘pružilo osnovne informacije o člancima koji su se pojavili u britanskoj štampi u vezi s britanskim državljaninom koji je tvrdio da mu je Jackson 1979. godine uputio ‘nepristojan telefonski poziv’. Britanac o kojem je riječ bio je čovjek po imenu Terry George:

Također je uključen i primjerak Zakona o telekomunikacijama iz 1984. godine, koji navodi da su osobe krive za ovaj prekršaj podložne novčanim kaznama. Moram priznati da mi je ovo malo čudno, jer je George tvrdio da se taj telefonski poziv desio 1979. godine, a čini se da ga uopšte nije spominjao sve dok se priča nije pojavila u tabloidima nekoliko sedmica nakon što su optužbe postale javne 1993. godine. Sigurno je da je u tom trenutku zastara već odavno prošla, s obzirom da je prosječno vrijeme za prijavu ‘uznemiravajućeg telefonskog poziva’ između jedne i četiri godine. Do 1993. godine prošlo je devet godina od donošenja Zakona o telekomunikacijama iz 1984. godine (koji je sam po sebi izmijenio Zakon o komunikacijama iz 1934.), i četrnaest godina od navodnog telefonskog poziva.
Ipak, evo kako to izgleda:

U svakom slučaju, 2003. godine, George je rekao dokumentaristi Louisu Therouxu da je njegovu ‘priču’ britanskoj štampi 1993. godine prodao neimenovani ‘prijatelj’ (kako zgodno):
Eh sad, neki ljudi pokušavaju koristiti Georgeov kasniji status milionera kao razlog da ne laže, ali 1993. godine George zapravo nije bio milioner, već disc jockey koji je pokušavao izgraditi ime za sebe. Štaviše, kasnije saznajemo da je zapravo George bio taj koji je jurio Jacksona, da bi na kraju ostao s osjećajem ‘odbačenosti’ od njega.

U ovom članku, George je tvrdio da su njegovi roditelji prekinuli telefonski kontakt kada je nagomilao ogroman račun često zovući SAD da bi razgovarao s Jacksonom. Zatim je izjavio da je nakon toga nekoliko puta pokušao doći do Jacksona putem telefonske govornice, ali da je, kada je konačno uspio uspostaviti vezu, ‘postalo jasno da ga Jackson nije želio čuti.’ Šta to uopšte znači?
Prema Georgeu, tek četiri godine nakon toga prima takozvano ‘konačno odbijanje’ od Jacksona.
Konačno odbijanje došlo je četiri godine kasnije, kada je Terry pokušao obnoviti njihovo prijateljstvo nakon što je Jackson ponovo došao u London. Terry ga je pronašao i čak se fotografisao pored svog idola, ali je menadžment bio prisutan da mu ljubazno pokaže izlaz.
George je tvrdio da je razlog njegovog odbijanja bio taj što je u tom trenutku bio ‘prestar’ za Jacksona, ali ako je to zaista bio slučaj, zašto onda nije uspio stupiti u kontakt s Jacksonom četiri godine ranije, kada je imao isto godina kao i kada su se, prema njegovim tvrdnjama, dogodili neprimjereni telefonski pozivi?
Hmm… nešto tu ne štima, Terry.
Pošto George nije imao nikakav dokaz, niti snimljene telefonske pozive ili bilo šta što bi potkrijepilo njegove tvrdnje, FBI nije preduzeo nikakve daljnje korake.

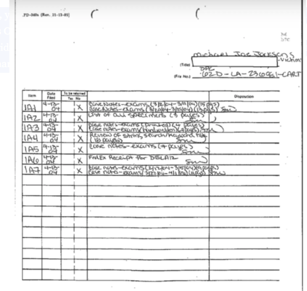
Dio drugi: Nalog za pretragu računara i medija
Dio drugi detaljno opisuje ulogu FBI-a u obradi Jacksonovih računara i tvrdih diskova tokom slučaja Arvizo 2004. godine. Zahtjev Policijske uprave Santa Barbara stigao je 15. januara 2004. godine, što je bilo dan prije Jacksonovog saslušanja povodom optužbi Arvizo:

Sada se možda pitate šta je to CART zahtjev za uslugu. CART je FBI-ev Tim za računalnu analizu i odgovor (Computer Analysis Response Team), a njihov zadatak je bio da izvrše forenzičku analizu nekoliko Jacksonovih računara i šesnaest tvrdih diskova.


Želite li znati šta su pronašli na svim njegovim uređajima?


Shvatili ste poentu. FBI nije pronašao ništa kompromitujuće na bilo kojem od Jacksonovih računara i tvrdih diskova. To je zvanično potvrđeno od strane organizacije 13. juna 2005. godine, na dan kada je Jackson oslobođen u slučaju Arvizo:

Treći dio: Zakon Mann
Dana 9. septembra 1993. godine, FBI je kontaktirala Policijska uprava Los Angelesa kako bi pružila pomoć u vezi s optužbama Jordana Chandlera:

Šta je tačno LAPD želio da FBI pomogne? Da pomogne u procesuiranju Jacksona zbog kršenja Mannovog zakona, koji zabranjuje prevoz bilo koga preko državnih granica u svrhu nezakonitih seksualnih radnji. LAPD je odmah odbijen.

Šest dana kasnije, LAPD je kontaktirao FBI kako bi ih obavijestili da će dvojica detektiva iz njihove jedinice putovati u Manilu kako bi pomogli u intervjuiranju dvoje bivših zaposlenika Jacksona. Ispostavilo se da su to par poznat kao Quindoy. Prije nego što se upustimo u pravne zaključke, prvo ćemo pogledati Quindoyeve i njihov karakter.
Tačan period vremena koji su Quindoyevi radili za Jacksona još uvijek nije jasan, jer su čak i sami Quindoyevi dalirazličite vremenske okvire. Vindicate MJ odlično razlaže ove kontradikcije:


Kao što ovdje vidimo, Mark Quindoy je na Hard Copy-u ufebruaru 1992. godine (što je bilo dugo prije optužbi, usput rečeno) naveo da je radio šest mjeseci, ali u optužbama Jamesa Safechucka, koje su uslijedile godinama kasnije, period Quindoyeve zaposlenosti je produžen do aprila 1990. godine, dodajući nekoliko dodatnih mjeseci onome što je Mark prvobitno tvrdio na Hard Copy-u. Oba ta vremenska okvira proturječe periodu zaposlenja koji je tužilaštvo navelo u svojom prijedlogu iz 2004. godine tokom predsuđenja Jacksona za optužbe vezane za pšorpdicu Arvizo, u kojoj se navodi da su Quindoyevi prekinuli svoj radni odnos sa Jacksonom u avgustu 1990. godine.
Međutim, Diane Dimond je u svojoj knjizi napisala da je Mark Quindoy tokom konferencije za novinare u Manili 1993. godine izjavio da je njihovo zaposlenje trajalo od 1987. do 1991. godine.

Wow… Kako smo prešli od šest meseci do četiri godine?
Pored promenljivih vremenskih okvira njihovog zaposlenja, Quindoyevi su prethodno govorili pohvalno o Jacksonovom karakteru tokom njihovog intervjua za Hard Copy 1992. godine (bez pominjanja bilo kakvih optužbi o njemu kao zlostavljaču dece). Slične pohvale su izrekli i tokom specijala Geralda 1992. godine pod nazivom Servants to the Stars:

Fotografija preuzeta sa Vindicate MJ
Štaviše, kako je primijetio Vindicate MJ, Quindoyevi će na kraju potpisati ugovor sa The Sun za 25 000 dolara, što znači da su već više od godinu dana prije optužbi prodavali priče o Jacksonu tabloidima.

Dodatno, Quindoyevi su tužili Jacksona za 283.000 dolara, koje su tvrdili da im duguje za prekovremeni rad.

Sada pogledajmo pobliže vremenski tok promjene stava Quindoyevih. Članak Los Angeles Timesa iz septembra 1993. izvjestio je da su Quindoyevi dali intervju nekoliko dana ranije, u kojem su navodno tvrdili da su svjedočili „zlostavljanju“ dok su radili za Jacksona:

Slično kao isvi drugi zaposlenici Jacksona koje smo već spomenuli, a koji su tvrdili da su ga vidjeli kako “zlostavlja djecu,” ni Quindoyevi nisu prijavili ovo takozvano “zlostavljanje” vlastima ili bilo kome drugom – sve do optužbi Chandlerovih, kada su njihove priče odjednom postale isplative. Štaviše, godinu dana ranije, dok su obilazili talk show emisije i prodavali priče o Jacksonu medijima, nisu izjavljivali ništa ni blizu ovim tvrdnjama.
Štaviše, članak Washington Posta od 5. septembra 1993. otkrio je da je Mark Quindoy iznenada radi na memoarima:


Vjerovatno ste već dobili dovoljno informacija da zaključite kako su Quindoyevi bili pažnje željni lovci na novac, i to mnogo prije optužbi iz 1993. godine. Zbog toga njihove tvrdnje nikada nisu bile shvaćene ozbiljno niti korištene u bilo kakvom kontekstu.
Također, u trećem dijelu, kao i u našem zasebnom segmentu o Victoru Gutierrezu, spomenuto je da je FBI istražio njegove tvrdnje da su oni (FBI) ranije istraživali Jacksona zbog “zlostavljanja” dvojice meksičkih dječaka oko 1985/1986. godine. Pa… FBI je provjerio vlastite evidencije i otkrio da zapravo nisu radili ništa slično:
Eto, Gutierrez opet laže…

Dio četiri (Analiza video kasete)
Godine 1995., američka carinskaispostava u West Palm Beachu zaplijenila je mutnu VHS kasetu označenu kao “Michael Jackson’s Neverland Favorites: An All Boy Anthology.” Međutim, dokumenti uopštee ne spominju da je Jackson posjedovao ili imao bilo kakvu povezanost s tom kasetom, već samo da je pregledana kako bi se utvrdilo sadrži li dječiju pornografiju. Vrijedi napomenuti da se ovo dogodilo gotovo dvije godine nakon nagodbe s Chandlerovima (o kojoj ćemo uskoro govoriti), što znači da je FBI intervenisao izvan službenih optužbi barem jednom u periodu između 1993/94. i 2003/05. godine:

Ovaj video je temeljito pregledavan tokom skoro dvije i po godine, što je potvrđeno analizom video snimka dokumentovanom u obrascu za analizu datiranom na 26. juni 1996:

Posjedovanje ili povezivanje s dječijom pornografijom je osnov za trenutni hapšenje uz naknadne optužbe, što jasno znači da ova kaseta nije sadržavala ništa, zbog čega je upravo i vraćena u kancelariju bez poduzimanja daljih mjera.

Dio pet (Slučaj Arvizo)
Dio pet je zapravo kratak pregled optužbi Arvizo i Jacksonovog krivičnog suđenja. Ući ćemo dublje u slučaj Arvizo na isti način kako to radimo sa slučajem Chandler, što znači da ćemo ovaj dio ponovo razmotriti kasnije. Za sada, međutim, sve što treba da znate je ovo: Slučaj zatvoren:

Dio šest (Dublji pogled na prijetnje smrću i pokušaje iznude)
Dio šest ima 199 stranica i pokriva dodatne prijetnje smrću i pokušaje iznude koji su se dešavali tokom Jacksonovog života. Prijetnje smrću su važne jer je postavljeno pitanje zašto je Jackson poduzeo određene sigurnosne mjere (postoji jedna posebna mjera na koju se mislim, koja će se kasnije spomenuti), a ta pitanja su čak korištena protiv njega na zlonamjeran način. Ipak, kada se bavite strašnim stvarima poput ovih, nemate drugog izbora nego poduzeti svaku moguću mjeru opreza:
Dio sedam (Pokušaj da se Jordan Chandler prisili da svjedoči tokom suđenja 2005. godine)
Dio sedam je otvoren i zatvoren (bukvalno), jer pokriva odbijanje Jordana Chandlera da svjedoči tokom Jacksonovog suđenja 2005. godine. Sve počinje sa sastankom iz juna 2004. godine između pomoćnika okružnog tužioca Santa Barbare i FBI-evog Odjela za bihevioralnu analizu. Na ovom sastanku odlučeno je da se federalni slučaj može i dalje voditi u vezi optužitelja iz 1993. (Chandler):

Iz gore navedenog pisma možete vidjeti da je bio planiran sastanak s Chandlerom u New Yorku krajem septembra 2004. godine. Taj sastanak je zapravo i održan, ali je završio tako što je Chandler rekao istražiteljima da “nema interesa svjedočiti protiv Jacksona” i da će “pravno boriti bilo koji pokušaj da to prisilno učini (svjedoči),” što je prilično ironično jer Chandler nije imao problema pojaviti se na drugoj tužbi protiv Jacksona 1996. godine, o kojoj ćete uskoro čuti:

Ipak, bez Chandlerove saradnje da svjedoči protiv Jacksona, istražitelji su morali krenuti dalje:

Dio osam (Završni)
Osmi i posljednji dio FBI dosijea potvrđuje mnogo onoga što smo već spomenuli, ali evo ključnih dijelova:

Ovdje možete ponovo vidjeti da nije pronađena dječija pornografija protiv Jacksona. Također, vidite da je FBI odbio da pogleda bilo koji drugi dokazni materijal osim video medija, tj. računara/kompjutera i tvrdih diskova koji su spomenuti ranije, te da je od njih traženo i da pruže Tehničke protumjere nadzora (TSCM) za Šerifov ured Santa Barbare (SBSD), što su prihvatili. Međutim, smatrali su da nije bilo dovoljno dokaza da bi se Arvizo obitelj stavila pod federalni program zaštite svjedoka, što iskreno govori sve o tome šta su mislili o slučaju protiv Jacksona. Jer, da su vjerovali da Arvizo obitelj ima i trunku kredibiliteta koja bi mogla dovesti do osuđujuće presude za Jacksona, ne bi imali problema s pružanjem tog dodatnog sloja zaštite za njih.
Pored toga, pratili su i druge potencijalne sigurnosne prijetnje, uz zabrinutost da bi Jacksonovo nadolazeće saslušanje moglo predstavljati terorističku prijetnju zbog njegove ogromne slave i globalne pažnje koju je slučaj privlačio.

Postoji nekoliko drugih informacija u ovom osmom dijelu koje, ponovo, možete pogledati u cijelosti putem FBI web stranice na linku iznad.. Međutim, kako bih ostala dosljedna vremenskoj liniji unutar ove serije, ove informacije ću ostaviti za kasnije segmente.
Sada kada ste dobili detaljan pregled gdje je FBI odlučio da intervenira i šta su tačno radili, završiću ovaj dio pitanjem: Koja riječ, po vašem mišljenju, najbolje opisuje njihov angažman u Jacksonovim slučajevima?
Nastavlja se…
MJLOE.net
Vezani tekstovi



















